Допоможіть будь ласка,терміново.
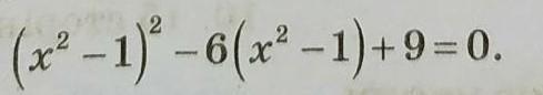
Потрібно розв'язати рівняння через дискримінант (Рівняння в файлі)
Дякую наперед^^
(20 балів)
Приложения:

Ответы
Ответ дал:
1
х=2 або -2
Пояснення на фото
Пояснення на фото
Приложения:

Вас заинтересует
2 года назад
2 года назад
2 года назад
2 года назад
8 лет назад
8 лет назад
9 лет назад