• Предмет: Геометрия
  • Автор: marcoandrewpolo
  • Вопрос задан 7 лет назад

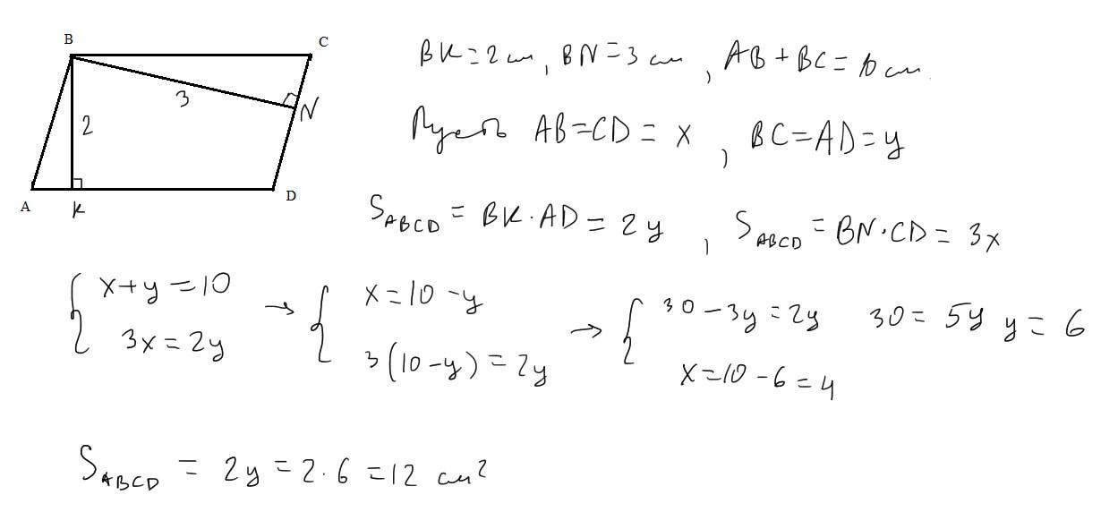
висоти паралелограма дорівнюють 2 см і 3 см, а сума двох його суміжних сторін – 10см. Знайдіть площу паралелограма.

Ответы

Ответ дал: Warlock1
1

Ответ:

12см²

Объяснение:

Приложения:
Вас заинтересует