Ответы
Ответ дал:
2
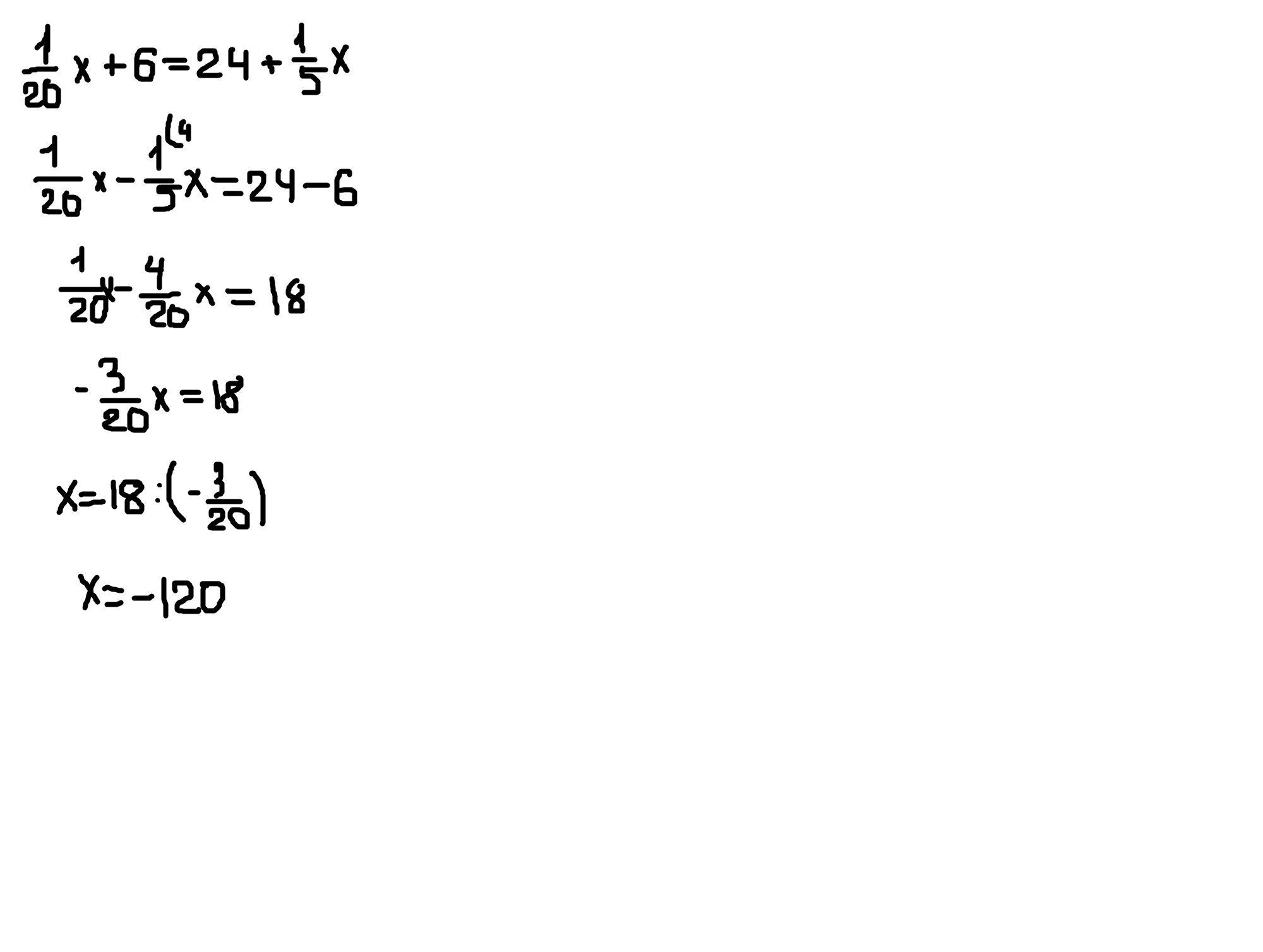
Ответ: х=-120
Пошаговое объяснение: в закрепе
Приложения:

Ответ дал:
0
Переведем обычные дроби в десятичные
0,05х+6=24+0,2х
6-24=0,2х-0,05х
-18=0,15х
х= -120
Ответ: -120
Вас заинтересует
2 года назад
2 года назад
2 года назад
2 года назад
8 лет назад
8 лет назад
9 лет назад