• Предмет: Алгебра
  • Автор: ayllissspak
  • Вопрос задан 7 лет назад

Записати у вигляді степеня з основою а: ( а²)³ • а⁵ : а⁷

Ответы

Ответ дал: tatsach
3

Ответ:

Объяснение:

.......

Приложения:
Ответ дал: Matrosik2004
4

Ответ:

 {a}^{4}

Объяснение:

(  { {a}^{2} )}^{3}  \times  {a}^{5}  \div  {a}^{7}  =  {a}^{2 \times 3}  \times  {a}^{5}   \div  {a}^{7}  =  {a}^{6}  \times  {a}^{5}  \div  {a}^{7}  =  {a}^{11}  \div  {a}^{7}  =  {a}^{4}

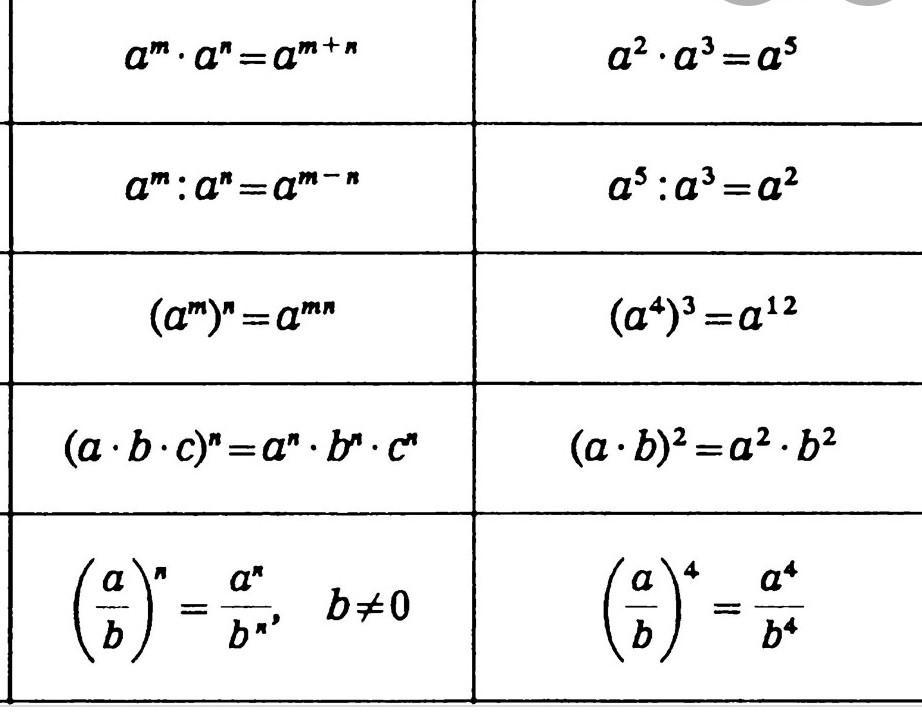
Справочный материал во вложениях

Приложения:
Вас заинтересует