• Предмет: Математика
  • Автор: nollari
  • Вопрос задан 7 лет назад

Помогите пожалуйста с этим примером

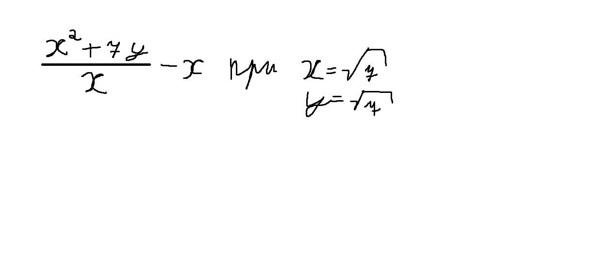
Приложения:

Ответы

Ответ дал: NarimanAbu1488
1

Ответ:

7

Пошаговое объяснение:

(x^2+7*y)/x - x

Приводим к общему знаменателю

(x^2+7*y - x*x)/x = 7*y/x = 7 * sqrt(7)/sqrt(7) = 7

Вас заинтересует