помогите пожалуйста решить данное в python

Приложения:

Ответы

Ответ дал: NarimanAbu1488
0

Ответ:

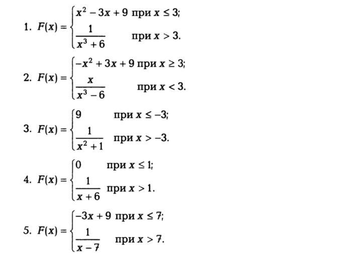
1)def F(x):

    if x <= 3:

         return x**2 - 3*x + 9

    if x > 3:

         return 1/(x**3 + 6)

2)def F(x):

    if x <= 3:

         return -x**2 + 3*x + 9

    if x > 3:

         return 1/(x**3 - 6)

3)def F(x):

    if x <= -3:

         return 9

    if x > -3:

         return 1/(x**2 + 1)

4)def F(x):

    if x <= 1:

         return 0

    if x > 1:

         return 1/(x + 6)

5)def F(x):

    if x <= 7:

         return -3*x+9

    if x > 7:

         return 1/(x - 7)

Объяснение:

Реазилуем все через функции с использованием условных операторов

Вас заинтересует