• Предмет: Алгебра
  • Автор: dReeAMc0rE
  • Вопрос задан 7 лет назад

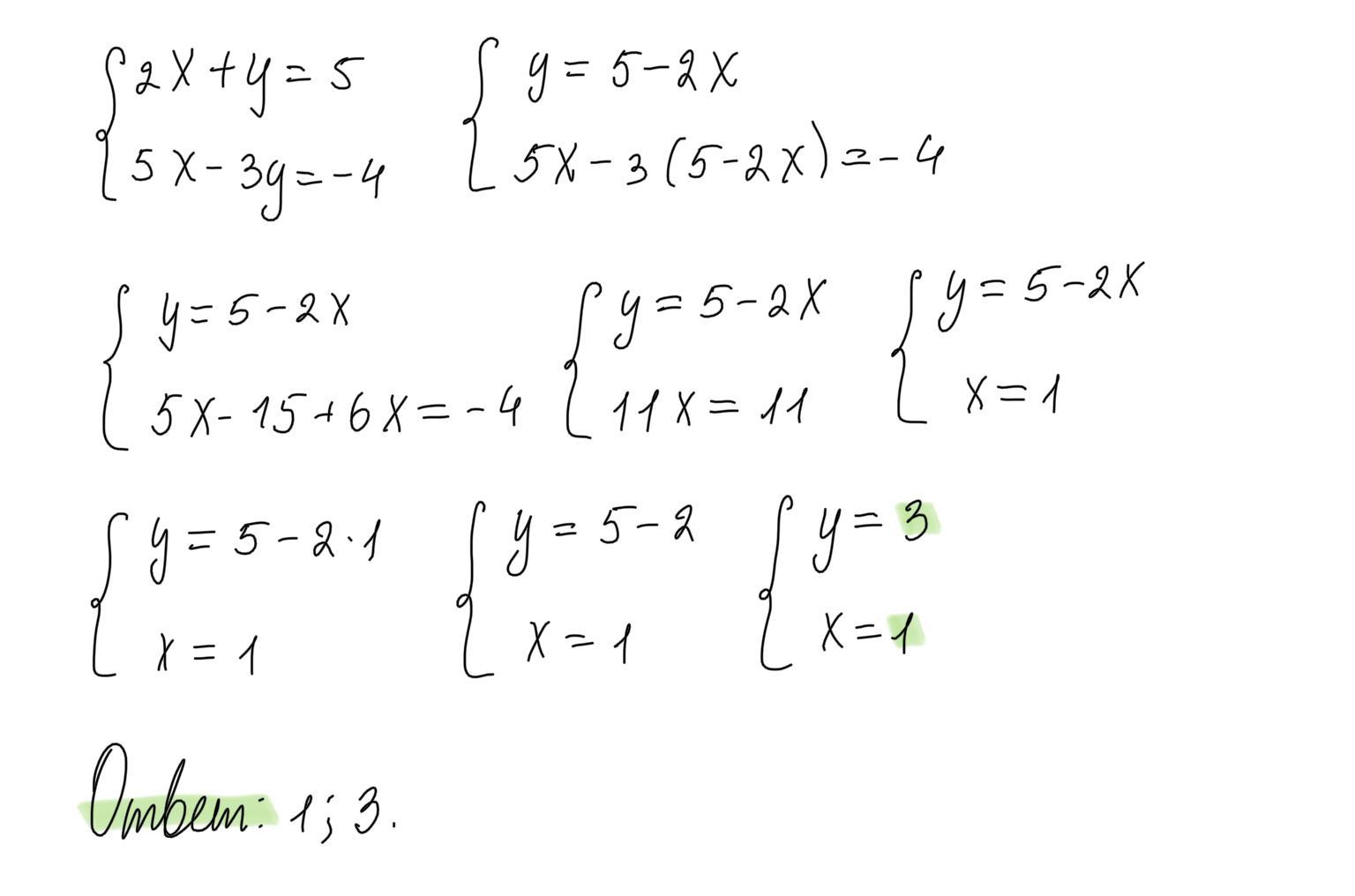
решить систему линейного уранения способом подстановки, с решением
пожалуйста не спамить)​

Приложения:

Ответы

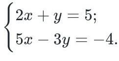
Ответ дал: dreamer312
1

решение на фото

надеюсь помогла <З

удачи:з

Приложения:
Вас заинтересует