• Предмет: Алгебра
  • Автор: rtyuioplkjhgf
  • Вопрос задан 3 года назад

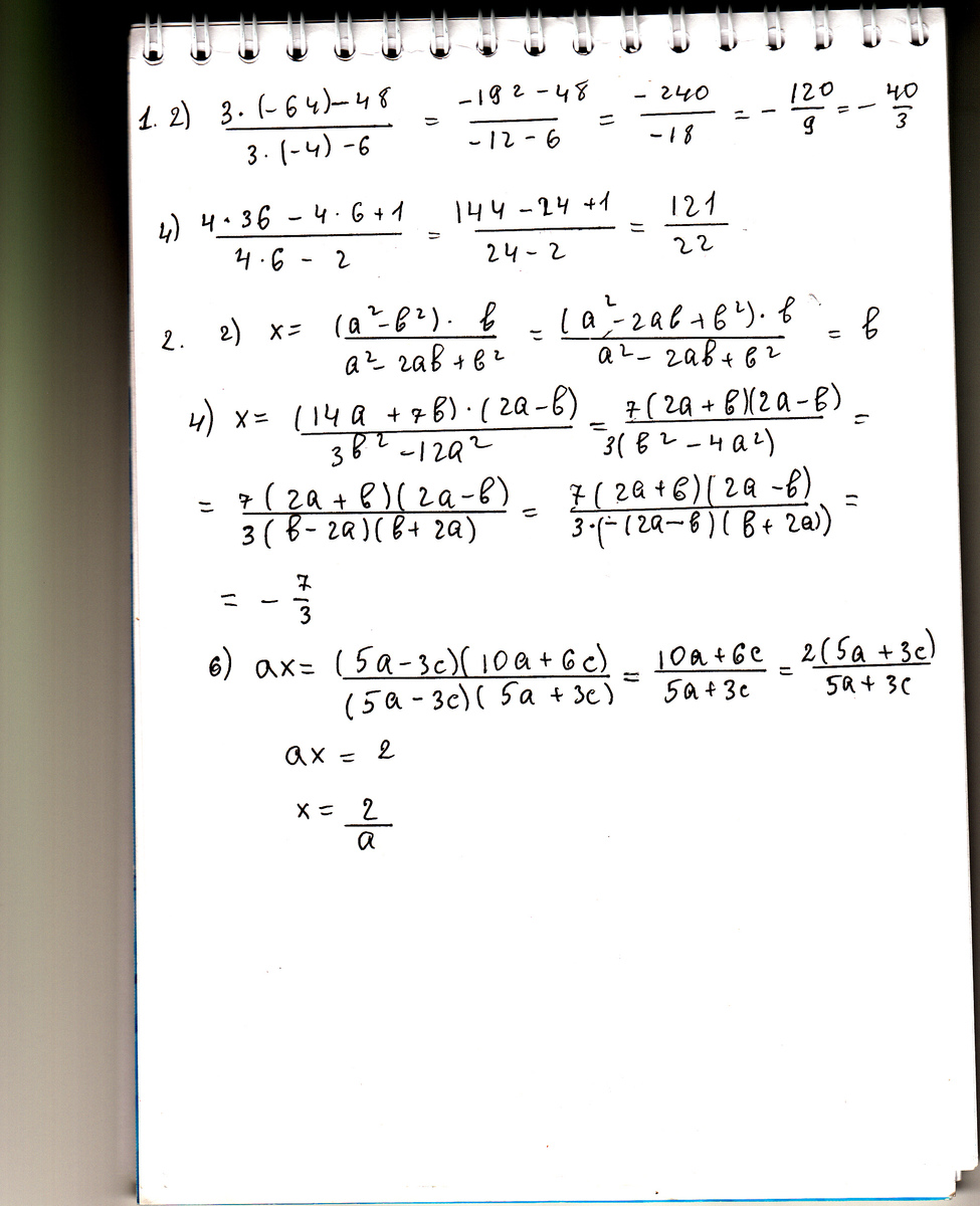
на первом фото нужно найти значение выражения
на втором фото нужно найти х из пропорции

Приложения:

rtyuioplkjhgf: кто решит сделаю лучшим

Ответы

Ответ дал: pyankova1114
1
Если есть ответы, то лучше проверь.
Приложения:

rtyuioplkjhgf: реши плиз
rtyuioplkjhgf: реши где нужно найти значение выражения 2
pyankova1114: на второй картинке
rtyuioplkjhgf: на первой там нужно сократить а потом подставлять
pyankova1114: дак я сократила во втором, а в первом не знаю
pyankova1114: и там в первом, наверно, опечатка. должно быть 16, а не 6. тогда всё бы хорошо сократилось
rtyuioplkjhgf: реши где 16
pyankova1114: решили? я не могу. а ответов нет?
rtyuioplkjhgf: ты же говорила что если 16 то все сократится так реши неправильно
pyankova1114: так тоже не решается
Вас заинтересует