Ответы
Ответ дал:
0
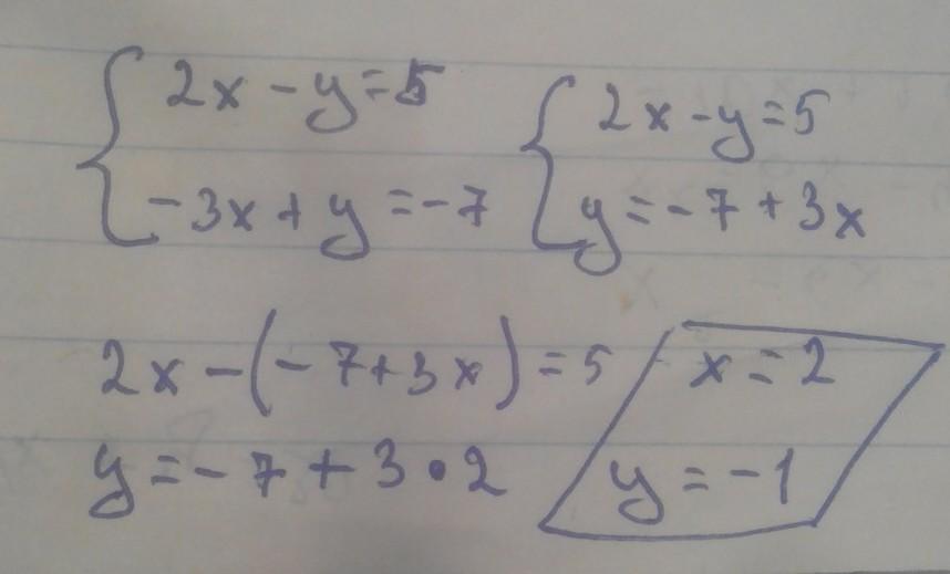
Объяснение:
надеюсь правельно.....
Приложения:

Вас заинтересует
2 года назад
2 года назад
2 года назад
8 лет назад
8 лет назад