• Предмет: Алгебра
  • Автор: ilya01049
  • Вопрос задан 7 лет назад

Срочно даю 50 балов.....

Приложения:

Ответы

Ответ дал: manyny06
0

Ответ:

решение смотри на фотографии

Приложения:
Ответ дал: iramazurk
0

Объяснение:

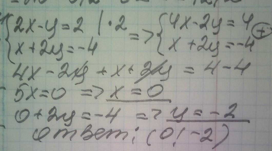
2х - у = 2 | * 2

х + 2у = -4

4х - 2у = 4

х + 2у = -4

5х = 0

х + 2у = -4

1)

5х = 0

х = 0 : 5

х = 0

2)

х + 2у = -4

0 + 2у = -4

2у = -4

у = -4 : 2

у = -2

Ответ: В (0; -2)

Вас заинтересует