• Предмет: Математика
  • Автор: ChrystynaHa
  • Вопрос задан 7 лет назад

Допоможіть будь-ласка

Приложения:

Ответы

Ответ дал: manyny06
1

Ответ:

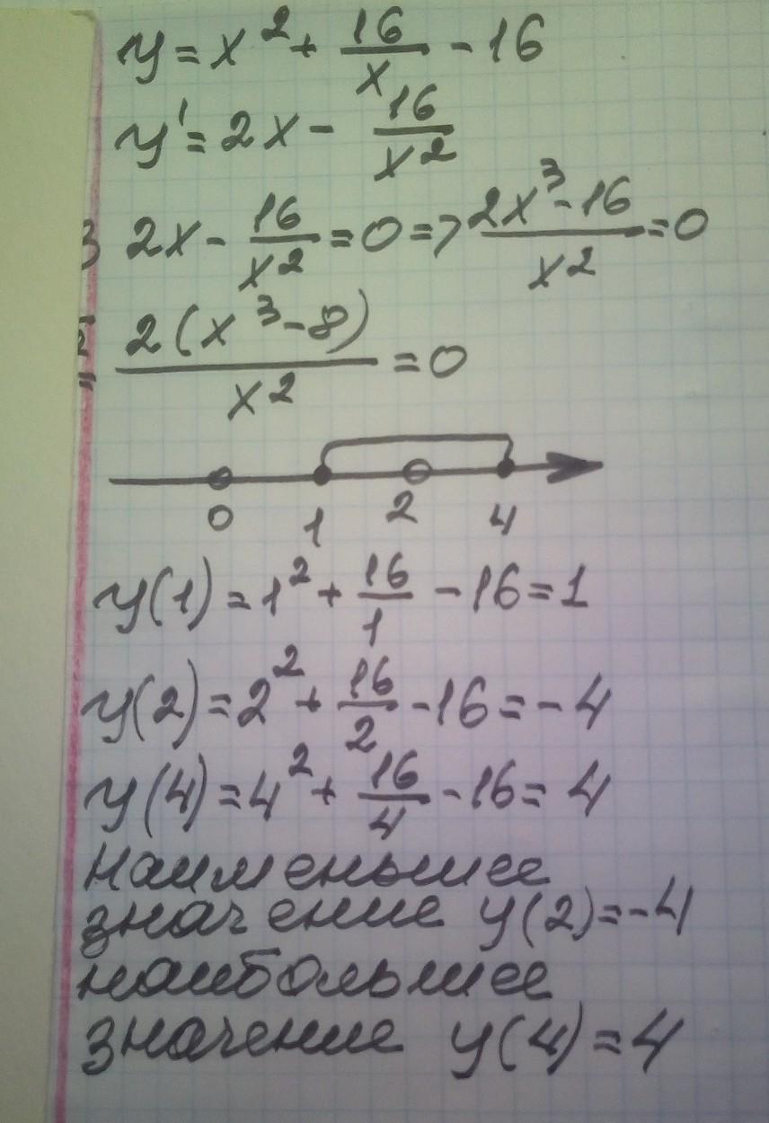
решение смотри на фотографии

Приложения:
Ответ дал: Аноним
1

Відповідь:

Покрокове пояснення:

фото

Приложения:
Вас заинтересует