• Предмет: Математика
  • Автор: Klfweisua
  • Вопрос задан 7 лет назад

Нужно срочно решить. Помогите пожалуйста

Приложения:

Ответы

Ответ дал: manyny06
0

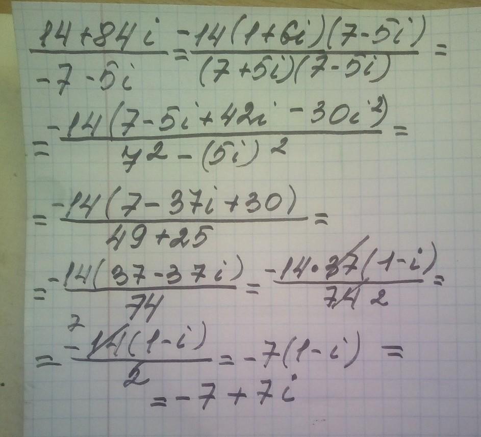
Ответ:

решение смотри на фотографии

Приложения:
Вас заинтересует