• Предмет: Математика
  • Автор: Player50b
  • Вопрос задан 3 года назад

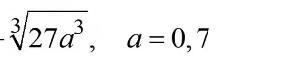
Помогите! Простое задания.

Приложения:

Ответы

Ответ дал: manyny06
1

Ответ:

решение смотри на фотографии

Приложения:
Вас заинтересует