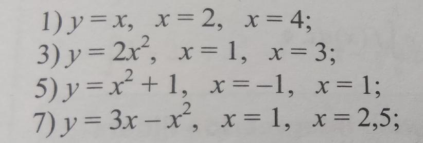
Вычислить площадь криволинейной трапеции, ограниченной осью ОХ и след. линиями (1 и 3 номер)
Приложения:

Ответы
Ответ дал:
1
Ответ:
Пошаговое объяснение:
1) S = ∫₂⁴ xdx = x²/2│₂⁴ = 1/2 ( 4² - 2² ) = 1/2 * 12 = 6 ( кв. од .) ;
3) S = ∫₁³ 2x²dx = 2 * х³/3│₁³ = 2/3 ( 3³ - 1³ ) = 2/3 * 26 = 17 1/3 ( кв. од. ) .
Вас заинтересует
2 года назад
2 года назад
2 года назад
2 года назад
7 лет назад
9 лет назад
9 лет назад