• Предмет: Алгебра
  • Автор: sovado96
  • Вопрос задан 3 года назад

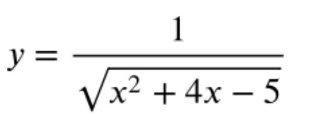
Знайдіть область визначення функції:
Помогите пожалуйста решить! Очень срочно. (Задание в прикреплённом фото)​

Приложения:

sovado96: Распишите пожалуйста подробнее решение

Ответы

Ответ дал: manyny06
1

Ответ:

решение смотри на фотографии

Приложения:

sovado96: Спасибо большое!)
Вас заинтересует