• Предмет: Алгебра
  • Автор: Nim213
  • Вопрос задан 3 года назад

Помогите, очень срочно.

Приложения:

Ответы

Ответ дал: Vopoxov
1

Ответ:

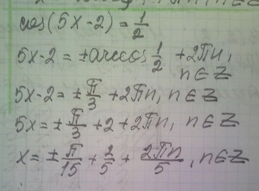
4) \:  \:  \:  \: x  =  0.4\pm  \frac{\pi}{15} +  \frac{2\pi{n}}{5}; \:  \, n \in Z \\

 5) \:  \:  \: x =  \pm \arccos{ \dfrac{3}{8} } + 2\pi{n}; \:  \, n \in Z

6) \:  \:  \:  \: ... =  \frac{37 \pi}{6}  = 6 \frac{1}{6}   \: \pi \\

Объяснение:

 \begin{array}{l}4)    \\ \cos(5x - 2)  =  \frac{1}{2}  \\ 5x - 2 =  \pm \arccos{ \frac{1}{2} } + 2\pi{n}; \:  \, n \in Z \\5x - 2 =  \pm  \frac{\pi}{3} + 2\pi{n}; \:  \, n \in Z \\ 5x =  2\pm  \frac{\pi}{3} + 2\pi{n}; \:  \, n \in Z \\ x  =  0.4\pm  \frac{\pi}{15} +  \frac{2\pi{n}}{5}; \:  \, n \in Z \\    \\  \\ 5) \\ (8 \cos{x} - 3)(3 \cos{x }+ 4) = 0 \:   \\ \:  \:  \\  \left[\begin{array}{l} \cos{x} = \dfrac{3}{8}  \\ \cos{x }=  -  \dfrac{4}{3} \small \: {   <  - 1} \:  \: { =  > }x \in \:  \cancel{o }\\   \end{array}   \right.   \\ \\   \cos x =  \dfrac{3}{8} \:  =  > \:  \\ { =  > } \:  \:  x =  \pm \arccos{ \dfrac{3}{8} } + 2\pi{n}; \:  \, n \in Z  \\ \\  \\ 6) \\ 7 \arccos( - 1) - 5\arccos( \frac{ \sqrt{3} }{2}  )\end{array}     \\

Приложения:
Ответ дал: manyny06
1

Ответ:

решение смотри на фотографии

Приложения:
Вас заинтересует