• Предмет: Физика
  • Автор: sergej606trach
  • Вопрос задан 3 года назад

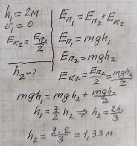
Камінь падає з висоти 2м на підлогу. На якій висоті від підлоги його кінетична енергія стане рівною половині його потенціальної енергії?

Ответы

Ответ дал: zinovicgrigorij
1

Ответ: 1,33м

Объяснение:

Дано:

h1=2м

Еп=2Ек

------------

h-?

Еп=mgh

Ек=mV²/2

mgh=2mV²/2

gh=V²

V=√(2g(h1-h))

2g(h1-h)=gh

2h1-2h=h

2h1=3h

h=2h1/3=2*2/3=1,33м

Ответ дал: zybkov1950
1

Відповідь: ≈1,33 м

Пояснення:

Приложения:
Вас заинтересует