• Предмет: Математика
  • Автор: ajzanmambetalieva0
  • Вопрос задан 3 года назад

сколько будет помогите:_(​

Приложения:

Ответы

Ответ дал: SpаmeR
0

Ответ:

x = -3

Пошаговое объяснение:

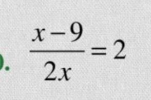
\frac{x-9}{2x} = 2

x - 9 = 2 * 2x

x - 9 = 4x

3x = -9

x = -3

Проверка:

\frac{-3 - 9}{2 * (-3)} = 2

\frac{-12}{-6} = 2

2 = 2

Ответ дал: anjoanka
0
x-9=4x
x-4x=9
-3x=9
x=-3
Вас заинтересует