• Предмет: Информатика
  • Автор: oliksevicarina
  • Вопрос задан 3 года назад

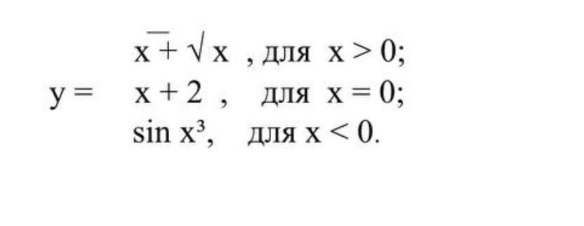
Скласти блок-схему алгоритма: ​

Приложения:

Ответы

Ответ дал: bananhik18
1

Ответ:

вплвлдвещвнщвнвнщвнщщвнщвн

Приложения:
Вас заинтересует