• Предмет: Алгебра
  • Автор: highskyy
  • Вопрос задан 10 лет назад

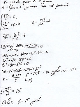
Бригаде рабочих было поручено в определенный срок изготовить 270 деталей . Перевыполняя план , она ежедневно изготовляла на 6 деталей больше, чем планировалось, а потому за 4 дня до срока бригада сдала 264 детали.За сколько дней бригада должна была выполнить задание?

Ответы

Ответ дал: mailforazi
0
Решение прикреплено ниже


Приложения:
Вас заинтересует