Ответы
Ответ дал:
2
Ответ:
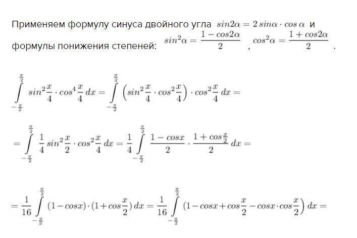
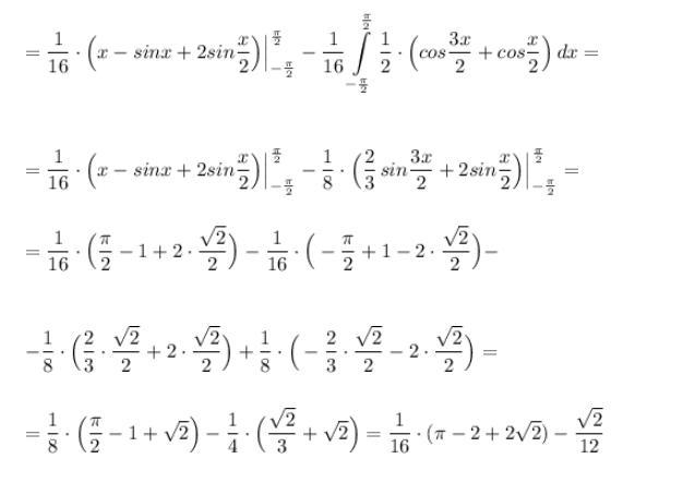
Применяем формулу синуса двойного угла и формулы понижения степеней:
,
.
Приложения:


masha01021:
можно скриншот пожалуйста
Вас заинтересует
2 года назад
2 года назад
2 года назад
2 года назад
7 лет назад