Ответы
Ответ дал:
2
Ответ:
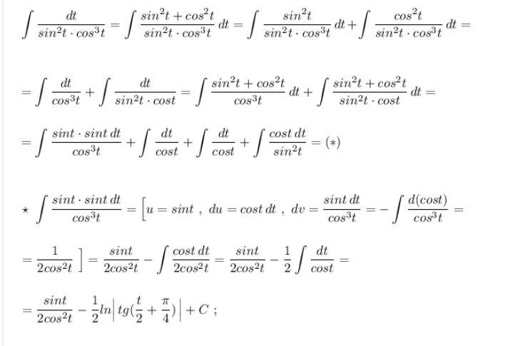
Применяем тригонометрическую подстановку .
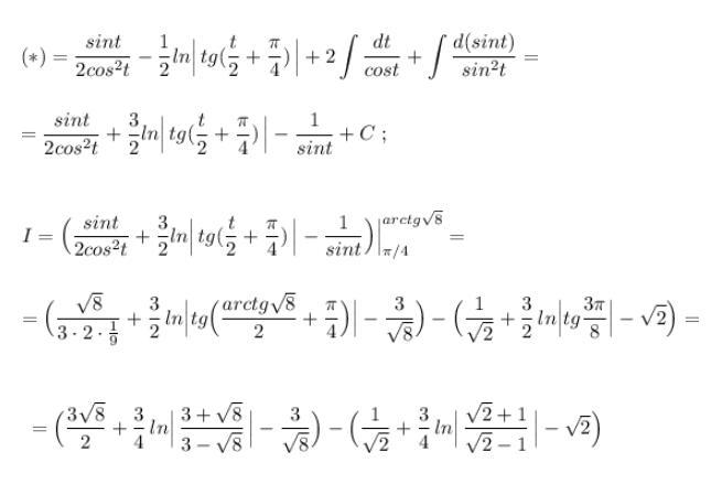
Найдём первообразную для последнего интеграла.
Применим интегрирование по частям .
Приложения:



masha01021:
можно скриншот пожалуйста
Вас заинтересует
2 года назад
2 года назад
2 года назад
2 года назад
7 лет назад