• Предмет: Физика
  • Автор: marmokimiki
  • Вопрос задан 3 года назад

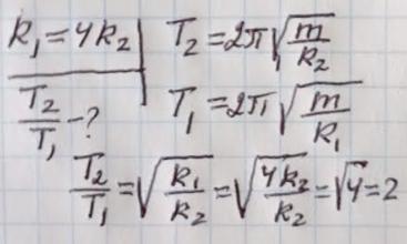
у скільки разів (збільшиться чи зменшиться) період коливань пружинного маятника, якщо коефіцієнт пружності зменшиться у 4 рази? відповідь обгрунтувати. (Должно получитса : у 2 рази)

Ответы

Ответ дал: zybkov1950
1

Відповідь: Збільшиться у 2 рази

Пояснення:

Приложения:
Вас заинтересует