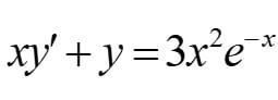
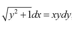
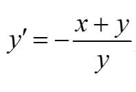
Прошу помогите решить диференциальное уравнение первого порядка! Любое! Если сможете решить все буду очень благодарна!!!
Приложения:



Ответы
Ответ дал:
0
Пошаговое объяснение:
рассмотрите предложенное решение; ответы отмечены цветным. В квадратных скобках даны замены и необязательные записи. Оформление не соблюдалось.
Приложения:

Вас заинтересует
2 года назад
2 года назад
7 лет назад
7 лет назад