Помогите решить диференциальное уравнение второго порядка!!! Любое!!! Если сможете решить два буду очень благодарна!!!
Приложения:


Ответы
Ответ дал:
0
Пошаговое объяснение:
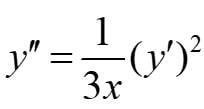
рассмотрите решение для первого ДУ.
Приложения:

Вас заинтересует
2 года назад
2 года назад
2 года назад
7 лет назад
7 лет назад