ДАЮ 100 БАЛЛОВ
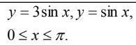
Обчислити об’єм тіла, утвореного обертанням фігури, обмеженої графіками
функцій, навколо осі Оx.
Вычислить объем тела, образованного вращением фигуры, ограниченной графиками
функций, вокруг оси Оx.
С РЕШЕНИЕМ
Приложения:

Ответы
Ответ дал:
1
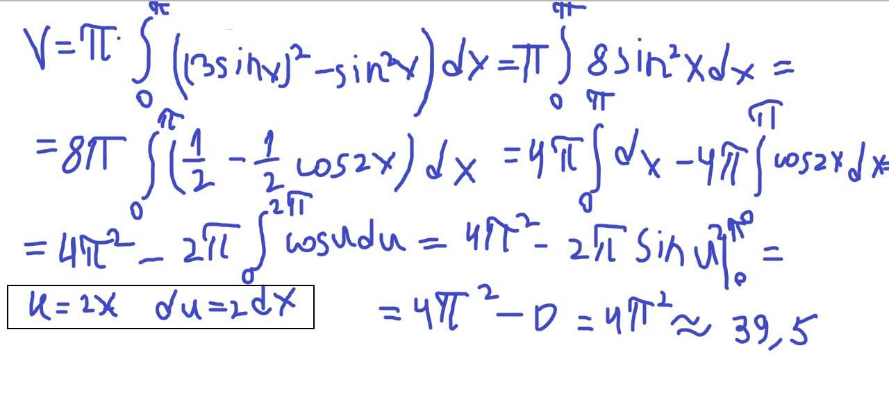
Ответ:4π^2
Пошаговое объяснение:
Приложения:




Вас заинтересует
2 года назад
2 года назад
2 года назад
7 лет назад
7 лет назад