ДАЮ 100 БАЛЛОВ
Обчислити об’єм тіла, утвореного обертанням фігури, обмеженої графіками
функцій, навколо осі Оx.
Вычислить объем тела, образованного вращением фигуры, ограниченной графиками
функций, вокруг оси Оx.
С РЕШЕНИЕМ
Приложения:

Ответы
Ответ дал:
1
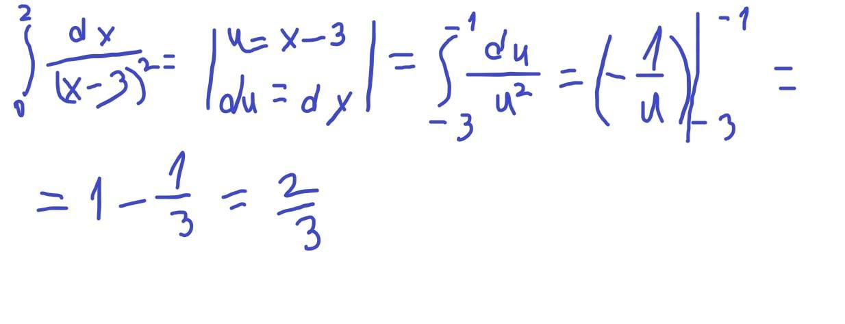
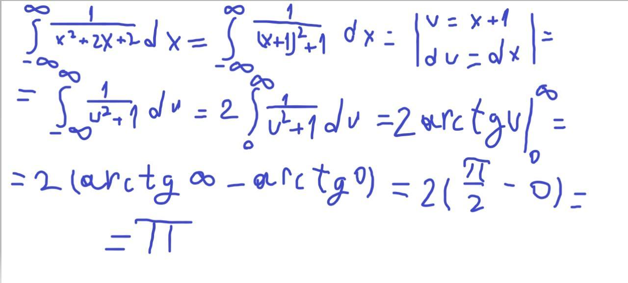
Ответ:π; 2/3, второй интеграл не является несобственным
Пошаговое объяснение:
Приложения:


Вас заинтересует
2 года назад
2 года назад
7 лет назад
7 лет назад
9 лет назад
Вычислить несобственные интегралы или установить их несовпадение.