• Предмет: Алгебра
  • Автор: Margarita563
  • Вопрос задан 3 года назад

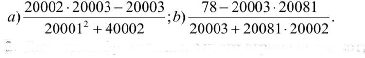
Обчислити НЕ перемножуючи багато цифрові числа

Приложения:

Ответы

Ответ дал: Аноним
1

Ответ:

а) 1

б) -1

Объяснение:

Приложения:
Вас заинтересует