• Предмет: Математика
  • Автор: chuwihibook18
  • Вопрос задан 3 года назад

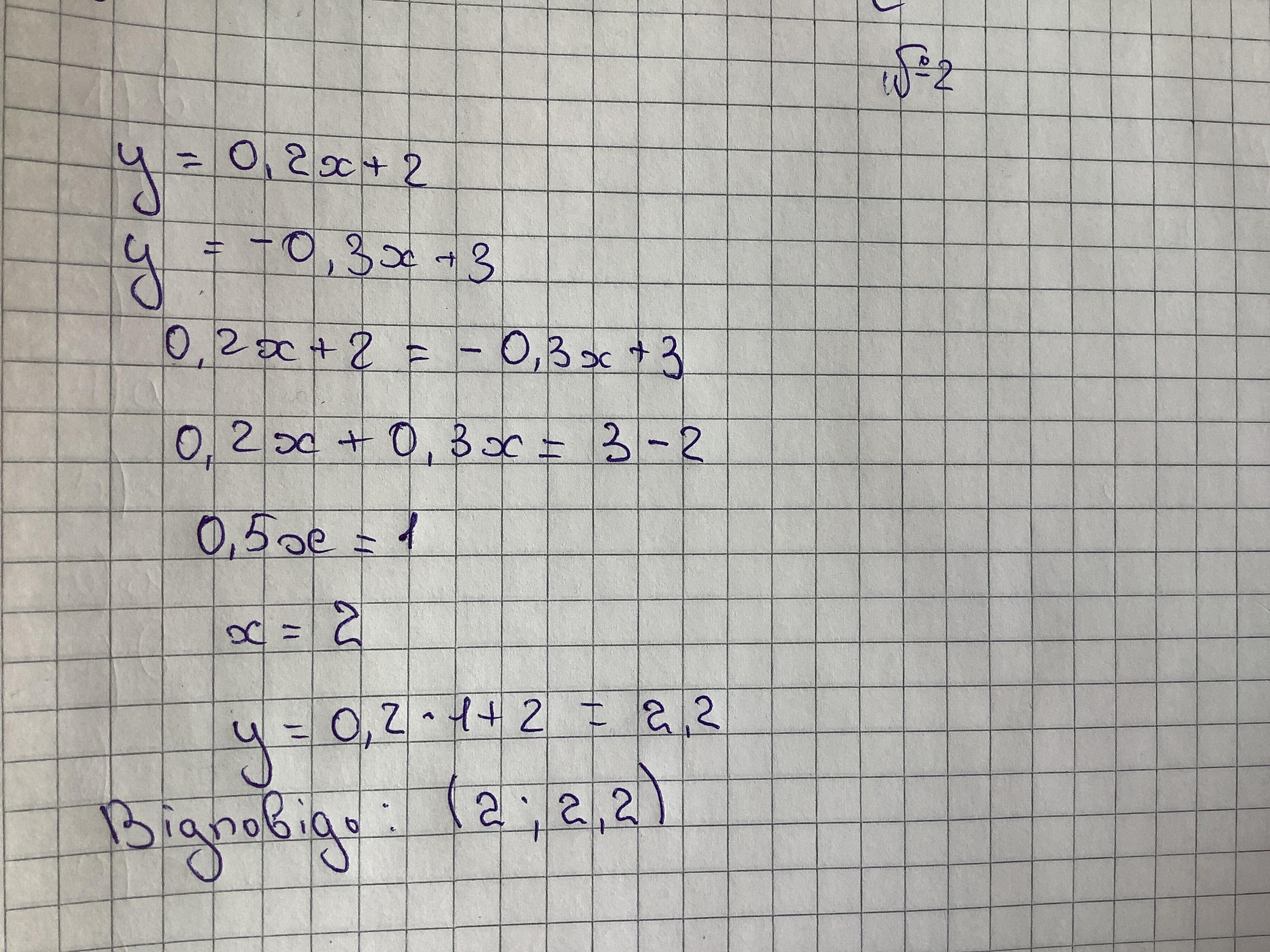
не выполняя построения найдите координаты точек пересечения графика заданной функции с осями координат у=о,2х+2 и у=-0,3х+3​

Ответы

Ответ дал: Kingofmath3451
0

Відповідь:

(2;2,2)

Покрокове пояснення:

Пояснення на фото

Приложения:
Вас заинтересует