Ответы
Ответ дал:
1
Ответ:
-2
Объяснение:
4+9х+9=4х(х+1)-1
4+9х+9=4
+4х -1
4+9х+9 - 4
-4х+1=0
5х+10 =0
5х = -10
х = -10:5
х=-2
Ответ дал:
1
Ответ:
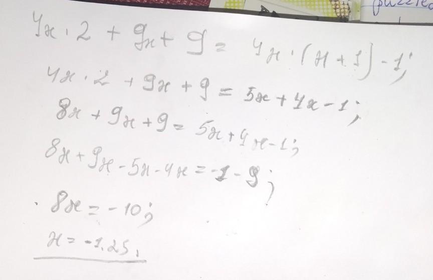
Решение на фото.
Объяснение:
Удачи в учебе.
Приложения:

Вас заинтересует
2 года назад
2 года назад
2 года назад
7 лет назад