• Предмет: Физика
  • Автор: st21b13
  • Вопрос задан 3 года назад

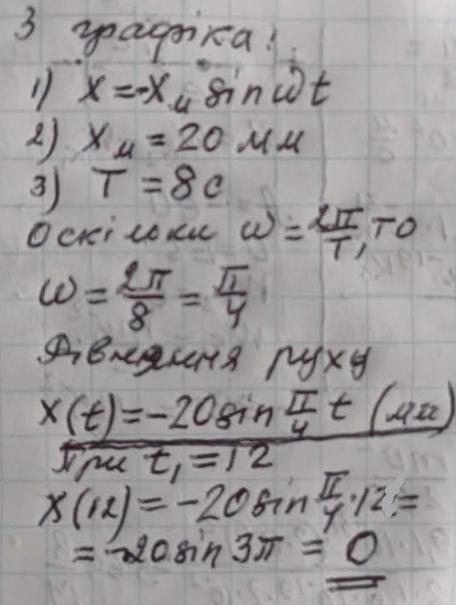
Використовуючи графік залежності координати тіла від часу (мал.),
записати рівняння руху х=х(t). Визначити координату тіла в момент часу
12 с.
ПОЖАЛУЙСТА, ПОМОГИТЕ, ОЧЕНЬ СРОЧНО НАДО!!

Приложения:

Ответы

Ответ дал: zybkov1950
1

Відповідь: Див. додаток

Пояснення:

Приложения:
Вас заинтересует