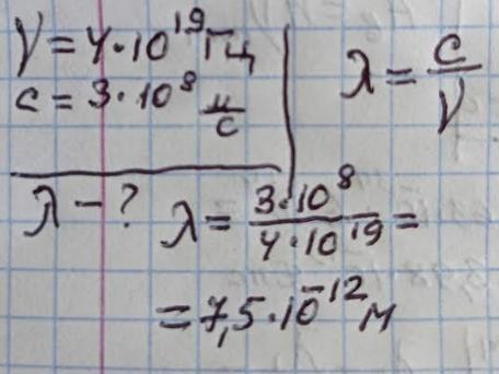
Визначити довжину електромагнітної хвилі у вакуумі , якщо вона поширюється з частотою ν=4∙10 -19 (Гц).
Ответы
Ответ дал:
1
Відповідь: Див. додаток
Пояснення:
Приложения:

renathalmirzaev83:
Но там же в минус девятнадцатой
Вас заинтересует
2 года назад
2 года назад
2 года назад
2 года назад
7 лет назад
7 лет назад
9 лет назад