• Предмет: Физика
  • Автор: hewi228
  • Вопрос задан 3 года назад

Помогите с задачкой, физика 1 курс

Приложения:

Ответы

Ответ дал: Meerasqueen
0

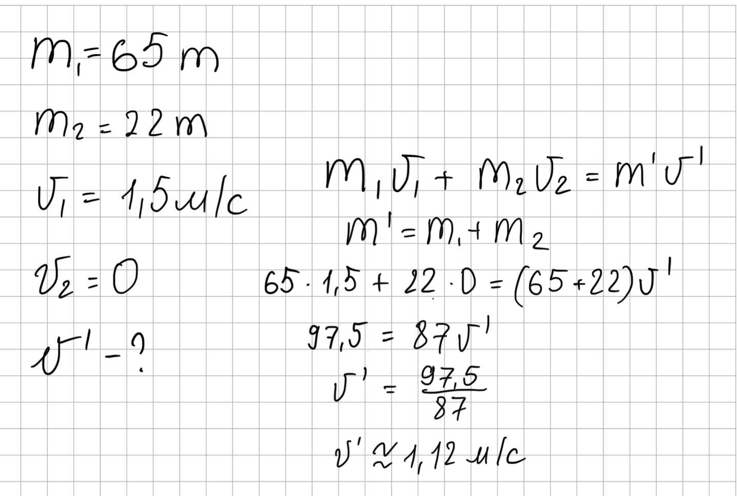
Ответ: примерно 1,12 м/с

Объяснение:

Приложения:
Ответ дал: Cohendd
0

       ДО                                               ПОСЛЕ

 О---------->V1       O V2=0                      OO----->V'

  m1                       m2                           m1 m2

Удар неупругий.

По закону сохранения импульса тел

m1V1 + m2V2=(m1+m2)V';     V2=0

m1V1=(m1+m2)V'

V'=m1V1/(m1+m2)

V'=65*1,5/(65+22)=97,5/87=1,1207≈1,1 м/с  -  это ответ.

----------

Массы переводить в кг не надо, т.к. отношение масс сохранится.  

Вас заинтересует