• Предмет: Геометрия
  • Автор: rccomfy1133
  • Вопрос задан 3 года назад

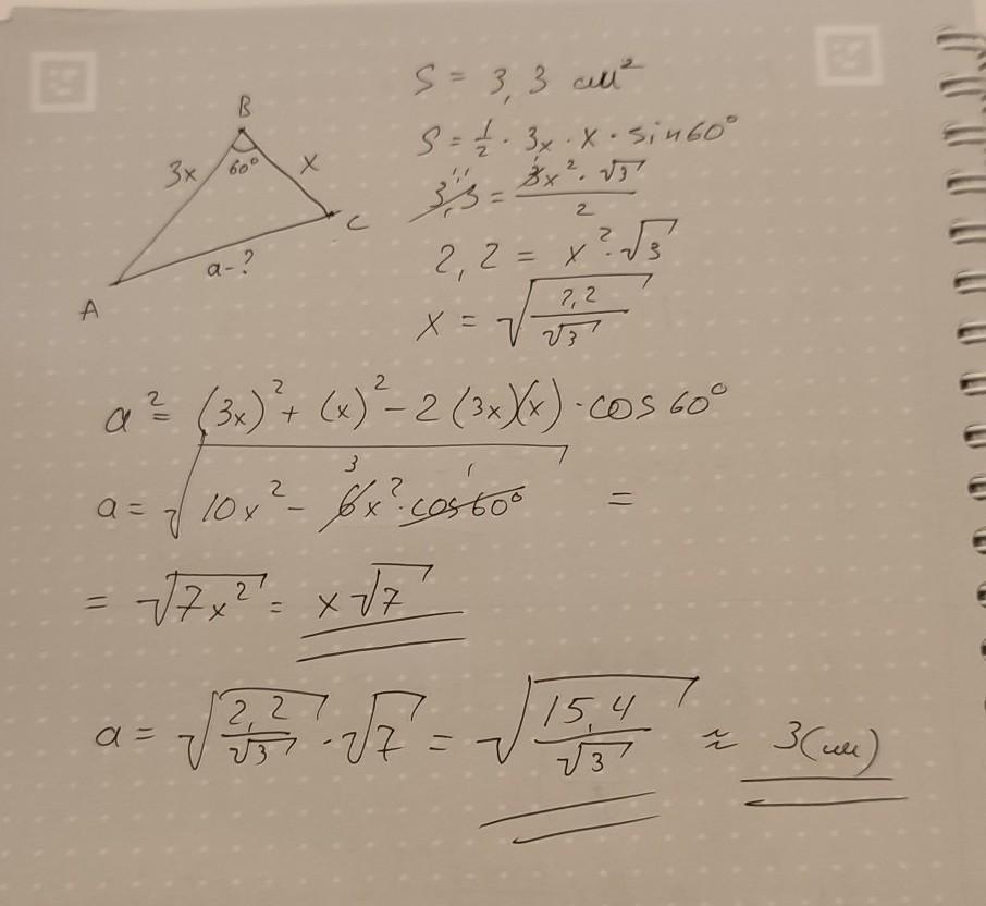
Дві сторони трикутника відносяться, як 3 : 1, а кут між цими сторонами
дорівнює 60°. Знайдіть третю сторону трикутника, якщо його площа
дорівнює 3,3 см².

Ответы

Ответ дал: kos2004
1

Ответ:

Ответ записан и расписан на фото

Приложения:
Вас заинтересует