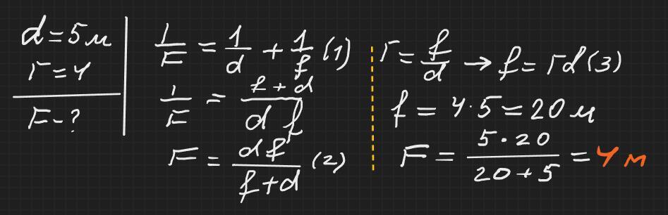
1. Відстань від предмета до екрана дорівнює 5 м. Визначте (у метрах) фокусну відстань лінзи, за допомогою якої на екрані буде отримано чітке зображення предмета, збільшене у 4 рази.
Ответы
Ответ дал:
1
Відповідь: 4 м
Пояснення:
Приложения:

Вас заинтересует
2 года назад
2 года назад
2 года назад
2 года назад
9 лет назад
9 лет назад