Написал код в пайтоне, но не могу найти ошибку. Помогите)
Приложения:


CosmicTea:
Вместо 0,1 нужно писать range(0, 1)
Ответы
Ответ дал:
1
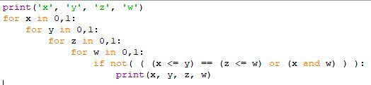
Ответ: не правильно поставил скобки
Объяснение:
надо было записать:
if not (( (x <= y) == (z <= w) ) or (x and w) )
Приложения:

Вас заинтересует
2 года назад
2 года назад
2 года назад
2 года назад
7 лет назад
7 лет назад
9 лет назад