• Предмет: Математика
  • Автор: lenovo38011
  • Вопрос задан 3 года назад

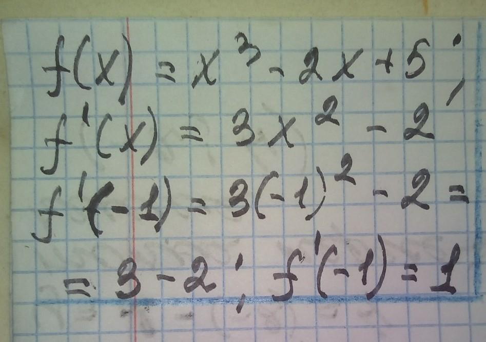
Знайти значення похідної функції в точці Xo= −1, якщо f (x)=x3-2x+5

Ответы

Ответ дал: manyny06
0

Ответ:

решение смотри на фотографии

м

Приложения:
Вас заинтересует