• Предмет: Физика
  • Автор: nadyaa011
  • Вопрос задан 3 года назад

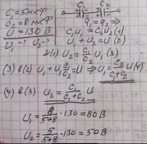
два конденсатора ємностями 5 та 8мкФ з'єднали послідовно й підключили до джерела постійної напруги. визначте напругу на кожному конденсаторі, якщо напруга на затискачах джерела становить 130в?​

Ответы

Ответ дал: zybkov1950
1

Відповідь: U₁=80 В      U₂= 50 В

Пояснення:

Приложения:

utyuuyyyyy: здравствуйте, помогите решить задачу пожалуйста
nadyaa011: дуже вдячна)
Вас заинтересует