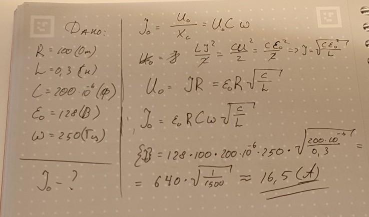
К последовательной цепи, состоящей из сопротивления R=100 Ом, катушки с индуктивностью L=0,3 Гн и конденсатора емкостью C=200 мкФ, подключен переменный источник напряжения с амплитудой E0=128 В и круговой частотой ω=250 Гц. Найти амплитуду тока в цепи. *
Ответы
                                            Ответ дал: 
                                                                                    
                                        
                                            
                                                
                                                
                                                
                                                    1
                                                
                                            
                                        
                                    Ответ:
Ответ записан и расписан на фото
Приложения:
                    
                            Вас заинтересует
                
                        2 года назад
                    
                
                        2 года назад
                    
                
                        2 года назад
                    
                
                        2 года назад
                    
                
                        7 лет назад
                    
                
                        7 лет назад
                    
                
                        9 лет назад