• Предмет: Алгебра
  • Автор: i0635113570
  • Вопрос задан 3 года назад

Наперед хочу подякувати тих хто допомагає , надіюсь на ваші відповіді <3

Приложения:

Ответы

Ответ дал: kos2004
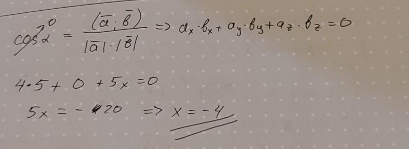
1

Ответ:

Ответ записан и расписан на фото

Приложения:

kos2004: плиз, влепи л.ответ, осталя всего лишь 1л.о. до нового уровня)
Ответ дал: Аноним
1

Відповідь:

Пояснення:

фото

Приложения:
Вас заинтересует