• Предмет: Математика
  • Автор: darinapanasevich
  • Вопрос задан 3 года назад

70 балів, Будь ласка !!! Допоможіть

Приложения:

Ответы

Ответ дал: yevheniiavz
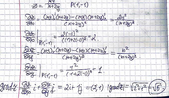
1

дивіться фото.........................

Приложения:
Вас заинтересует