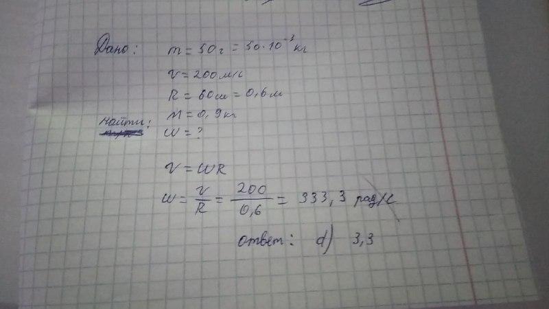
Пуля массой m = 50 гр движется со скоростью 200 м/с и вбивается в обод диска который в покое и может вращаться свободно. На расстоянии R = 60 см от центра. Масса диска M = 0.9 кг, каково значение угловой скорости после столкновения (M+m)?
Приложения:

Ответы
Ответ дал:
0
Ответ:
Объяснение: Ответ приблизительно 3,3 так как у меня вышел 333,3, и кстати с^-1 это же единица чистоты
Приложения:

aibekovarsen42:
Гц и с^-1 это одно и то же не путайте
Вас заинтересует
2 года назад
2 года назад
2 года назад
7 лет назад
9 лет назад