• Предмет: Физика
  • Автор: pltnv03
  • Вопрос задан 3 года назад

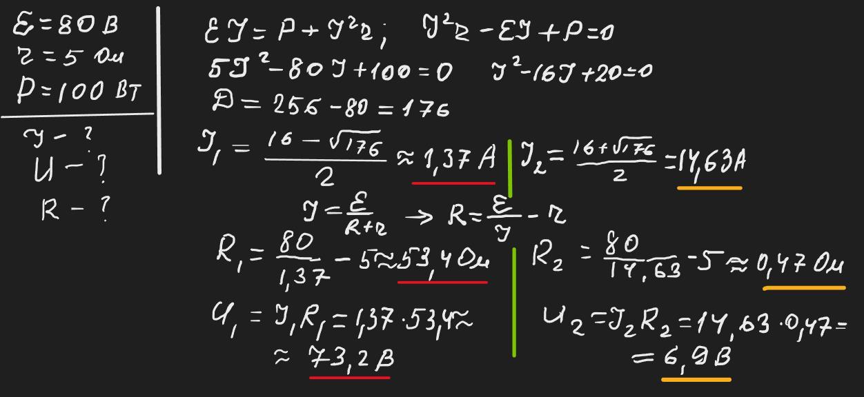
ЕРС батареї ε = 80 В, внутрішній опір r = 5 Ом, споживана в колі потужність P = 100 Вт. Визначити силу струму в зовнішньому колі, падіння напруги на ньому і опір кола.

Ответы

Ответ дал: zybkov1950
1

Відповідь: Див. додаток

Пояснення: Можливі два випадки, хоча у другому випадку малий ККД

Приложения:
Вас заинтересует