• Предмет: Алгебра
  • Автор: lllll58
  • Вопрос задан 3 года назад

помогите решить пожалуйста, если можно словами тоже чутка объяснить:^)​

Приложения:

Ответы

Ответ дал: NNNLLL54
2

Ответ:

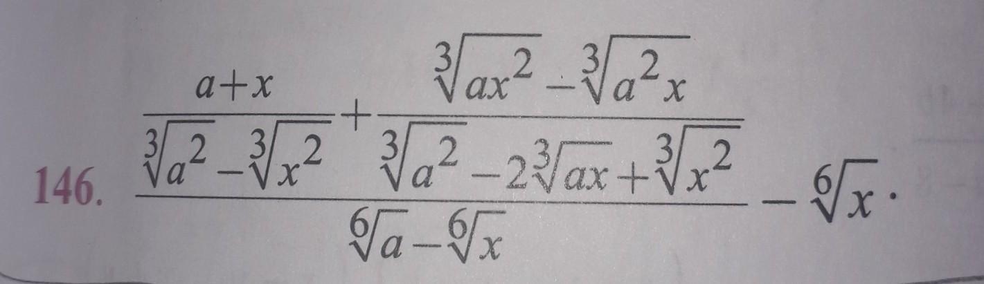
\displaystyle \frac{\dfrac{a+x}{\sqrt[3]{a^2}-\sqrt[3]{x^2}}+\dfrac{\sqrt[3]{ax^2}-\sqrt[3]{a^2x}}{\sqrt[3]{a^2}-2\sqrt[3]{ax}+\sqrt[3]{x^2}}}{\sqrt[6]{a}-\sqrt[6]{x}}-\sqrt[6]{x}=\sqrt[6]{a}   .  

Чтобы не загромождать запись корнями  различных степеней переобозначим   p=\sqrt[3]{a}\ ,\ \ q=\sqrt[3]{x}  ,  тогда выражение перепишем в виде:

   \displaystyle \frac{\dfrac{p^3+q^3}{p^2-q^2}+\dfrac{pq^2-p^2q}{p^2-2pq+q^2}}{\sqrt{p}-\sqrt{q}}-\sqrt{q}  .

В знаменателе получили разности квадратных корней, так как

p=\sqrt[3]{a}=\sqrt[6]{a^2}=(\sqrt[6]{a})^2\ \ \Rightarrow \ \ \ \sqrt{p}=\sqrt{(\sqrt[6]{a})^2}=\sqrt[6]{a}  . Аналогично,  \sqrt{q}=\sqrt[6]{q}

Далее при преобразовании выражения пользуемся формулами сокращённого умножения : суммой кубов, квадратом разности, разностью квадратов .

\displaystyle \frac{\dfrac{p^3+q^3}{p^2-q^2}+\dfrac{pq^2-p^2q}{p^2-2pq+q^2}}{\sqrt{p}-\sqrt{q}}-\sqrt{q}=\frac{\dfrac{(p+q)(p^2-pq+q^2)}{(p-q)(p+q)}+\dfrac{pq\, (q-p)}{(p-q)^2}}{\sqrt{p}-\sqrt{q}}}-\sqrt{q}=\\\\\\=\frac{\dfrac{p^2-pq+q^2}{p-q}-\dfrac{pq}{p-q}}{\sqrt{p}-\sqrt{q}}-\sqrt{q}=\dfrac{p^2-2pq+q^2}{(p-q)(\sqrt{p}-\sqrt{q})}-\sqrt{q}=

\displaystyle =\frac{(p-q)^2}{(p-q)(\sqrt{p}-\sqrt{q})}-\sqrt{q}=\frac{p-q}{\sqrt{p}-\sqrt{q}}-\sqrt{q}=\frac{(\sqrt{p}-\sqrt{q})(\sqrt{p}+\sqrt{q})}{\sqrt{p}-\sqrt{q}}-\sqrt{q}=\\\\\\=\sqrt{p}+\sqrt{q}-\sqrt{q}=\sqrt{p}=\sqrt{\sqrt[3]{a}\, }=\sqrt[6]{a}


lllll58: огромное спасибо:^)
NNNLLL54: пожалуйста :)
NNNLLL54: отмечай лучший ответ
lllll58: хорошо
Вас заинтересует