• Предмет: Физика
  • Автор: Аноним
  • Вопрос задан 3 года назад

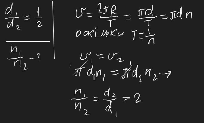
Діаметр передніх коліс трактора у 2 рази менший, ніж задніх. Порівняйте частоти обертання коліс, коли трактор рухається.​

Ответы

Ответ дал: zybkov1950
1

Відповідь: Частота обертання передніх коліс  у 2 рази більша

Пояснення:

Приложения:
Вас заинтересует