• Предмет: Алгебра
  • Автор: chenadodaun
  • Вопрос задан 3 года назад

помогите пожалуйста

Приложения:

Ответы

Ответ дал: ViSanM
1

Ответ:

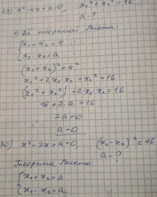
29) а=0;   30) а=-3

Объяснение:

Приложения:
Вас заинтересует