• Предмет: Математика
  • Автор: kovalevmaximm6
  • Вопрос задан 3 года назад

СРОЧНО ДАЮ 70 БАЛЛОВ

Приложения:

Ответы

Ответ дал: MatemaX9
0

Ответ:

Пошаговое объяснение:

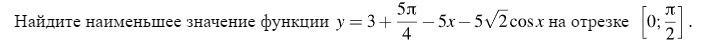
1) у=3+5п/4-5х-5√2cos X

У'=-5-5√2*(-sin X)=-5+5√2sin X

У'=0

-5+5√2sin X=0

5√2sin X=5     :5√2

sin X= 1/√2 = √2/2  X=π/4

У''=5√2*cos X⇒   Y''(π/4)=5√2*√2/2 >0 min

У(π/4)=3+5п/4-5*π/4 -5√2*√2/2= 3-5=-2

ПРОВЕРИМ концы области определения.

у(0)=3+5π/4-5*0-5√2cos 0=3+1,25π-5√2≈-0,146 >-2

у(π/2)=3+5π/4-5π/2-5√2cos π/2=3-5π/4-0≈-0,925 >-2

ОТВЕТ:

Абсолютный минимум в точке Х= π/4   у(π/4)=-2

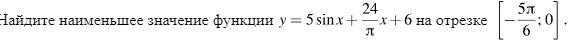
2)  y = 5 sin x + 24x/π + 6  на отрезке [−5π/6;0]

y' = 5 cos x + 24/π =0

5 cos x = -  24/π

cos x = -  24/5π    -24/5π=-24/15.7≈-1.53 <-1 Косинус не может быть по модулю больше 1. Значит производная не равна 0. Отсюда делаем вывод. Максимум или минимум могут быть только на концах области определения.

Проверим концы.

y (-5π/6) = 5 sin (-5π/6) - 24*5π/6π + 6=5*(-0,5)-20+6=-16,5

Умин.= -16,5  -минимальное значение функции в точке х=-5π/6

y(0) = 5 sin 0 + 24*0/π + 6 = 6

Умакс.= 6  -максимальное значение функции в точке х=0

ОТВЕТ : Умин.= -16,5  -минимальное значение функции в точке х=-5π/6

Вас заинтересует