Ответы
Ответ дал:
2
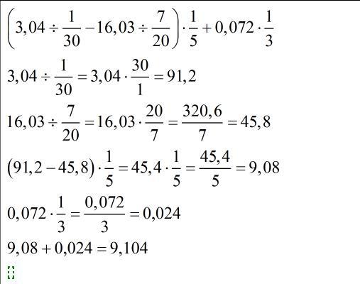
Ответ:
9,104
Пошаговое объяснение:
Приложения:

Вас заинтересует
2 года назад
2 года назад
7 лет назад