• Предмет: Математика
  • Автор: kykyryza256
  • Вопрос задан 3 года назад

Помогите пожалуйста решить задание на фотографии.

Приложения:

Ответы

Ответ дал: lilyatomach
2

Ответ:

- 2 -нуль функции

Пошаговое объяснение:

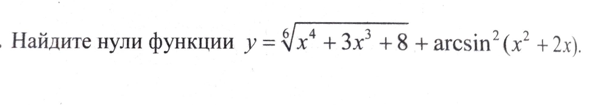
Найти нули функции

y=\sqrt[6]{x^{4}+3x^{3} +8 } +arcsin^{2} (x^{2} +2x)

Нули функции - это значения аргумента, при которых функция равна нулю.

Значит, чтобы найти нули функции, надо решить уравнение: y=0

\sqrt[6]{x^{4}+3x^{3} +8 } +arcsin^{2} (x^{2} +2x)=0

Первое слагаемое есть число неотрицательное при всех допустимых значениях х ( корень четной степени есть число неотрицательное)

Второе слагаемое является квадратом , поэтому также при всех допустимых значениях х , является числом неотрицательным.

Тогда сумма двух неотрицательных чисел равна нулю, если каждое слагаемое равно нулю.

То есть надо найти решение системы

\left \{\begin{array}{l} \sqrt[6]{x^{4} +3x^{3} +8} =0, \\ arcsin^{2}(x^{2} +2x) = 0\end{array} \right.\Leftrightarrow \left \{\begin{array}{l} x^{4} +3x^{3} +8 =0, \\ arcsin(x^{2} +2x) = 0\end{array} \right

Решим второе уравнение системы

arcsin(x^{2} +2x)=0,        где        -1\leq x^{2} +2x\leq 1

Тогда получим

x^{2} +2x=0;\\x(x+2)=0;\\ \left [\begin{array}{l} x = 0 \\ x = -2 \end{array} \right.

Проверим какое из полученных значений является решением  первого уравнение системы, подставив  каждое  полученное значение х.

Если х =0, то      0^{4} +3\cdot0^{3} +8=0+0+8=8

Так как 8\neq 0 , то данное значение не является решением системы.

Если х =0, то      (-2)^{4} +3\cdot(-2)^{3} +8=16+3\cdot (-8) +8 =24-24=0

Тогда при х = - 2 и первое слагаемое , и второе равно 0  и данное значение является решением системы.

Значит, х= - 2 -нуль функции

#SPJ1

Вас заинтересует