• Предмет: Физика
  • Автор: remboe
  • Вопрос задан 3 года назад

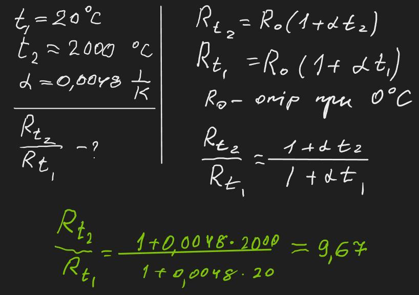
Визначте у скільки зміниться опір вольфрамової нитки розжарювання електричної лампи в робочому стані при температурі 2000°С в порівняні з її опром при 20°С?


Аноним: привіт

Ответы

Ответ дал: zybkov1950
9

Відповідь: збільшиться у 9,67 разів

Пояснення:

Приложения:
Вас заинтересует